Câmara de Franca aprova projetos do PPA 2026–2029 e LDO 2026

Últimas atualizações sobre os acontecimentos do nosso município.

03 de setembro de 2025

Imagem de capa da Notícia

A Câmara Municipal de Franca realizou, nesta terça-feira (2), a 35ª Sessão Ordinária do ano, com pauta exclusiva voltada à votação de duas das principais peças orçamentárias do município: o Plano Plurianual (PPA) 2026–2029 e a Lei de Diretrizes Orçamentárias (LDO) 2026.

As matérias, de autoria do prefeito Alexandre Ferreira (MDB), foram aprovadas em segundo turno, após já terem recebido aval em primeira votação no dia 26 de agosto. Ambas passaram também por audiências públicas de discussão.

A sessão teve início às 9h, com a fase de expediente, e a votação da Ordem do Dia ocorreu a partir das 14h.

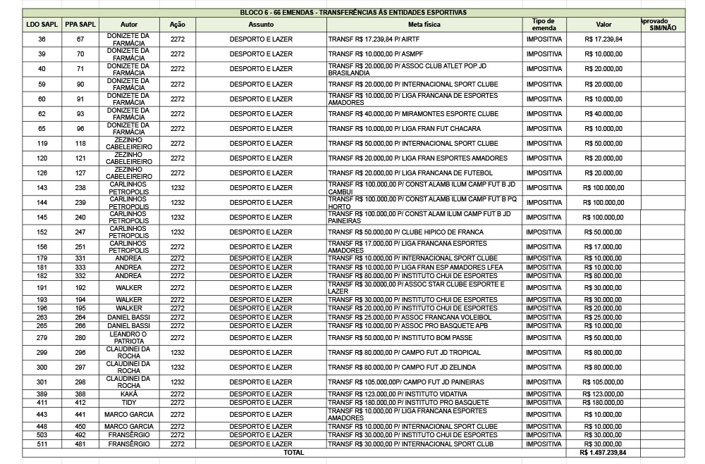
Quase 500 emendas aprovadas

No total, os projetos incorporaram 483 emendas parlamentares: 482 de caráter orçamentário — divididas igualmente entre o PPA e a LDO — além de uma emenda de texto. As propostas foram debatidas em Audiência Pública realizada no dia 29 de agosto, no Plenário da Câmara.

Entre elas, destaque para as emendas impositivas, de execução obrigatória pelo Poder Executivo. O valor total aprovado foi de R$ 18.216.953,43, praticamente todo o limite disponível, de R$ 18.217.195,34 (equivalente a 1,2% da Receita Corrente Líquida prevista), dividido de forma igualitária entre os 15 vereadores. As emendas foram aprovadas em 23 blocos, conforme demonstrativo abaixo.

A emenda do bloco 24 nem chegou a entrar em votação, pois havia recebido parecer contrário:

Bloco 1 

Bloco 2 

Bloco 3 

Bloco 4 e 5 

Bloco 6

Bloco 7 e 8 

Bloco 9

Bloco 10

Bloco 11

Bloco 12, 13, 14, 15 e 16 

Bloco 17 

Bloco 18, 19, 20 e 21 

Bloco 22 e 23 

Veja as fotos - CLIQUE AQUI 

Veja como foi - CLIQUE AQUI

Imagem da Notícia
Imagem da Notícia
Imagem da Notícia
Imagem da Notícia
Imagem da Notícia
Imagem da Notícia
Imagem da Notícia
Imagem da Notícia
Imagem da Notícia
Imagem da Notícia
Imagem da Notícia
Imagem da Notícia
Imagem da Notícia
Imagem da Notícia
Imagem da Notícia
Imagem da Notícia
Imagem da Notícia

Saiba mais sobre as informações da Câmara Municipal de Franca pelas redes sociaisFacebook ,Youtube ,Flickr ,Twitter e Instagram .

Assista a TV Câmara pelo canal aberto digital 6.3.